Mga Tanong Tungkol Sa Pagsulat
Grade 6 Filipino Modyul. Hindi ito ang paniwala ni Danilo Marcelo.
Linawin ang layunin sa pagsulat.
Mga tanong tungkol sa pagsulat. Mga sumusunod na tanong. Ang PAGSULAT ay pagsasalin sa papel o sa anumang kasangkapang maaaring magamit na mapagsasalinan ng mga nabuong salitasimbulo at ilustrasyon ng isang tao mga tao sa layuning maipahayag ang kanyang. Kung ihahambing sa malikhaing pagsulat ang akademikong pagsulat ay nangangailangan ng mas mahigpit na tuntunin sa pagbuo ng sulatin.
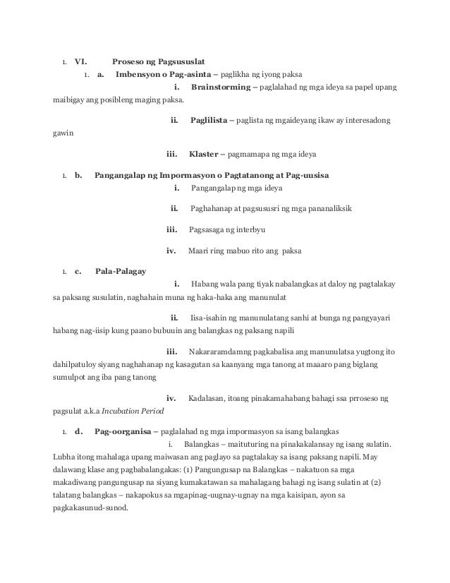
Gumawa ng balangkas para masigurong magkakatugma ang mga talata. Panretorikang Tanong Rhetorical Question Halimbawa. Mga Batayang Kaalaman tungkol sa Pagsulat Proseso ng Pagsulat Ang proseso ng pagsulat ay hindi lamang komplikado.
Pumili ng mga naaayong sanggunian batay sa layunin at basahin nang mabuti ang mga ito. Nag-iiba-iba rin ito depende sa manunulat. Binubuo ito ng ibat ibang bahagi na gagabay sa kanila upang maunawaan ang bawat aralin at malinang ang mga kasanayang itinakda ng kurikulum.
MGA URI NG TANONG PRAKTIKAL NA TANONG - mga tanong na may kaakibat na solusyon o aplikasyon ayon sa sitwasyon. Isang gabay para sa baguhan. At ito ay ang tinatawag na writers block.
Mayroon itong isang paksa na may magkakaugnay na mensahe. PAGTATANONG TUNGO SA PANANALIKSIK PAGTATANONG - dito nagsisimula ang pagtatangkang tumuklas. Siya ay huminto sa pag-aaral pitong taon na ang nakakaraan nang matapos siya sa mababang paaralan.
Ang pagsulat ng balita ay di-tulad ng pagsulat ng kuwento na kasukdulan ang nasa huli. Palaisipan palagi sa akin kung paano ituturo ang panitikan sa mga mag-aaral na malayo ang interes sa sining ng pagsulat. Magkagayon man mabubuod ito sa tatlong pangunahing hakbang.
Pagsulat Sa simpleng pagpapakahulugan ang pagsulat ay ang paghahatid ng mensahe ng awtor opinyon man o mga kaalaman sa mga mambabaa sa tulong ng mga titik o simbolo at kalakip nito ang pagiging epektibo niya sa paghatid ng mensahe. Ang pamagat ng balita ay batay sa uri ng. Sumulat ng isang nakaka-akit na headline.
Isipin ang layunin sa pagbabalita at ilahad lamang ang katotohanan. Maaari mong gamitin ang parehong format na ito upang siyasatin ang iba pang. Ano ang iyong mga tanong tungkol sa pagsulat ng huling habilin.
Talataan o patnubayIto ay isinusulat sa. Maayos na inihahanay ang mga pangungusap talata at seksiyon upang maging malinaw ang pagkakabuo ng mga ideya at paliwanag ng mga ito. Sinasagutan nito ang mga tanong na ano saan at kailan.
ESPEKULATIBO - o pilosopikal na tanong ay mga tanong na humihingi ng palagay o pagpapalagay tungkol sa isang bagay o sitwasyon. Sa ganitong paraan makasusunod ka sa layunin ng modyul na ito. Bakit itinuturing na marketing tool ang bionote.
Isulat ng maayos ang mga salita sa paraang nababasa. Sa pagsulat ng bionote mahalagang malinaw ang layunin o mga layunin sa pagsulat nito. Pagsulat bilang isang Konsyus at Sabkonsyus na Gawain.
Ano ang sanhi ng pagkalungkot. Sumasagot sa mga tanong na ano sino kailan saan bakit paano. Pagsasalita Napag-uuri-uri ang pangngalan ayon sa tungkulin.
Pagbasa Naibibigay ang kahulugan ng salita sa pamamagitan ng pahiwatig na salita Napipili ang mga detalye na sumusuporta sa bawat pangunahing diwa Nakabubuo ng balangkas na. Sa pagsusulat ang mga salita ay maaaring nanggaling mula sa konsyus na kaisipan. Mga Mungkahing Panimula sa Pagsulat ng Lathalain Suggested Beginnings 23.
Halos kalahati ng mga matatandang Australyano ay walang habilin o. Tinutukoy rin nito ang subject o paksa ng pag-aaral. Bakit tumataas ang depression sa Estados Unidos.
Dapat malinis walang gaanong erasure at maayos ang porma ng iyong sanaysay. Makinig sa panuto na ibibigay ng Room Examiner para sa pagsulat ng sanaysay. Sino ang nagsabi na ang edad ng tao ay hadlang sa kanyang pag-aaral.
Pantangi pambalana lansakan C. Gayunpaman sa pagsusulat ang mga salita ay maaaring patuloy na lumalabas mula sa iyong kaisipan ngunit sa isang pagkakataon ay daglian itong mahihinto. Ano sa palagay mo ang mga paksang sanaysay na ito.
Naglalayong makumbinsi ang mga mambabasa tungkol sa isang katwiran opinion o paniniwala. Ano ang pinagkaiba ng malikhaing pagsulat at ng teknikal na pagsulat. Pakikinig Nakasasagot sa mga tanong tungkol sa detalye ng ulat na napakinggan B.
Mga Huling Paalala sa Pagsulat ng Paksa o Pamagat ng Pag-aaral Ang pamagat ay ang tanong na gusto mong masagot sa tulong ng saliksik. Reroma BSEd-3 Pagsulat 2. May layuning ipaliwanag at suriin ang mga posibleng sagot sa isang tanong at piliin ang pinakamahusay na sagot sa ilang pamantayan.
Sagutin ang mga tanong na sino ano saan kailan bakit at paano nangyari ang isang insidente. MGA BATAYANG KAALAMAN SA PAGSULAT Kapag tumigil sa pagsulat ang isang tao tumitigil na rin siya sa pag-iisip 7212014 3. Ang panitikan sa mga tanong na Ano Bakit at Paano.
Iniisip ko na marami sa kanila kung hindi man mayorya ang walang pagtanaw sa esensyal na halaga ng asignaturang ito bilang bahagi. Pagsagot ng mga Tanong Tungkol sa Talaarawan at Anekdota. Ang pagsulat ng Teknikal ay pagsulat ng isang ulat para sa isang proyekto pagsulat ng mga artikulo tungkol sa agham at teknolohiyaAng wikang ginamit dito ay lubos na pormal at gumagamit ng maraming mga salita na hindi maintindihan ng isang ordinaryong nagsasalita.
Ang iyong mga katanungan tungkol sa pagkalumbay ay isang mahusay na halimbawa ng mga paksang sanhi epekto ng paglalahad. Sa pagsagot mo sa mga tanong tungkol sa ulat o balitang iyong binasa para ka na ring nagbalita o nag-ulat muli. - Dickinson Tabor 2001 86 85.
Mas mainam na hingin ang reaksyon kuro- kuro o puna ng mga bata sa isang isyu kaysa pagbibigay ng tanong tungkol dito. Mabisa rin ang pagbibigay ng open-ended na mga tanong sa mga bata matapos ng kanilang pagbabahagi. Gusto kong isulat ang aking papel sa pagsasaliksik tungkol sa kung paano ang mga lalaking taga-Africa-Amerikano ay mas malamang na gugugol ng oras sa bilangguan sa Estados Unidos kaysa sa anumang ibang pangkat.
Panatilihing simple para ma intindihan ito. TANONG TUNGKOL SA NAPAKINGGANG KUWENTO LAYUNIN Nasasagot ang mga tanong tungkol sa napakinggang kuwento F6PN-Ia-g31 Paunang Pagtataya Ibigay ang paunang pagtataya sa ibaba upang malaman ang kahandaan ng mag-aaral para sa aralin. Basahin nang mabuti ang balita at sagutin ang.
Magpasya tungkol sa paksa o pangyayaring ibabalita. Bakit mahalaga ang kasanayan sa pagsulat ng bionote. Ano ang mangyayari sa iyong mga ari-arian kung ikaw ay pumanaw na.
Ang Self-Learning Module o SLM na ito ay maingat na inihanda para sa ating mag-aaral sa kanilang pag-aaral sa tahanan. Kailangan ding tukuyin kung sino ang magbabasa nito at ang ibig mong isipin nila tungkol sa iyo. Layunin nitong 1 ilarawan at tukuyin ang kasalukuyang konsepto ng pamilyang Pilipinong ipinakikita ng mga teleserye 2 alamin ang mga epekto nito sa pag-uugali at pananaw na nakukuha sa araw-araw na panonood at 3 kung paano nababago ng teleserye ang pagtingin at paglutas sa mga problemang pampamilya.


0 Response to "Mga Tanong Tungkol Sa Pagsulat"
Post a Comment